Τα κουφώματα αλουμινίου χωρίζονται στα συμβατικά «κρύα» και στα ενεργειακά κουφώματα, γνωστά ως θερμομωντικά ή thermal. Τα θερμομωνοτικά συστήματα αλουμινίου ξεχωρίζουν από τις «κρύες» σειρές κουφωμάτων λόγω της χρήσης ειδικού μονωτικού υλικού, συνήθως πολυαμίδιο, το οποίο είναι και κακός αγωγός της θερμότητας. Το πολυαμίδιο τοποθετείται στην μέση των προφίλ και έτσι τα χωρίζει σε δύο μέρη το εξωτερικό και το εσωτερικό. Με αυτόν τον τρόπο επιτυγχάνεται η θερμομόνωση και η ηχομόνωση, λόγω της θερμοδιακοπής, αποτρέποντας τη δημιουργία θερμογέφυρας και τη μεταφορά ενέργειας (θερμότητας ή κρύου) μεταξύ του εξωτερικού και του εσωτερικού μέρους του κουφώματος.
Ο συντελεστής θερμοπερατότητας, U-Value μετριέται σε W/m2K και είναι η ποσότητα θερμότητας ανά μονάδα χρόνου που μπορεί να διαπεράσει από ένα τετραγωνικό μέτρο (1m2) στοιχείου κατασκευής (κούφωμα) με πάχος d (m) σε ορισμένο χρονικό διάστημα μίας ώρας, όταν η διαφορά θερμοκρασίας μεταξύ των επιφανειών αυτών (μέσα – έξω) είναι ίση με 1 βαθμό (1°C).
Οι U- value τιμές μετρούν πόσο αποτελεσματικό είναι ένα υλικό ως μονωτής, καθώς αφορούν το θερμικό τμήμα της ηλιακής ακτινοβολίας. Όσο χαμηλότερη είναι η U-value τιμή, τόσο μικρότερη είναι η απώλεια θερμότητας και τόσο περισσότερη η μόνωση που παρέχει το υλικό.
Για να καταστεί δυνατός ο υπολογισμός του ολικού συντελεστή θερμοπερατότητας ενός κουφώματος ο μελετητής θα πρέπει να έχει στην διάθεση του:
- Την τιμή του συντελεστή θερμοπερατότητας του υαλοστασίου (Ug - «glass»)
- Την τιμή του συντελεστή θερμοπερατότητας του πλαισίου προφίλ αλουμινίου (Uf – «frame»)
- Τύπο εξαρτήματος διαχωρισμού υαλοπινάκων («spacer»)
- Ποσοστό εμβαδού πλαισίων σε σχέση με το συνολικό εμβαδό του κουφώματος
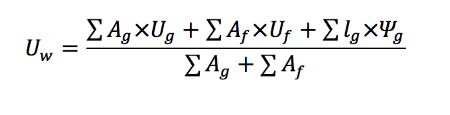
O αριθμητικός τρόπος υπολογισμού του ολικού συντελεστή Uw (τιμή U-window) υπολογίζεται με την πιο κάτω εξίσωση:

Όπου:
- Ug είναι ο συντελεστής θερμοπερατότητας του υαλοστασίου
- Uf είναι ο συντελεστής θερμοπερατότητας του πλαισίου
- Ψg είναι η γραμμική θερμική μετάδοση για διάφορους τύπους υαλοστασίων («spacer»)
- lg είναι η περίμετρος του ορατού υαλοστασίου ως προς το πλαίσιο
Για να πετύχουμε τη μέγιστη δυνατή θερμομώνοση, δεν εξαρτάται μόνο από το κούφωμα αλουμινίου που θα τοποθετηθεί αλλά και από τον υαλοπίνακα. Είναι σημαντικό τα κουφώματα να έχουν υαλοπίνακες με καλές θερμομονωτικές ιδιότητες. Ο ολικός συντελεστής θερμοπερατότητας Uw αλλάζει δραματικά, χρησιμοποιώντας ένα τύπο υαλοπίνακα με χαμηλό συντελεστή Ug, μιας και η επιφάνεια του γυαλιού είναι κατά πολύ μεγαλύτερη από την επιφάνεια του αλουμινίου σε ένα κούφωμα.
Για αυτό το λόγο, χρειάζεται προσοχή όταν επιλέγουμε το σωστό σύστημα αλουμινίου, καθώς ο ολικός συντελεστής επηρεάζεται από πολλές παραμέτρους. Ο ορθότερος τρόπος σύγκρισης δύο συστημάτων αλουμινίου είναι με τον συντελεστή θερμοπερατότητας Uf , ή χρησιμοποιώντας ακριβώς τον ίδιο τύπο υαλοπίνακα και διαστάσεων για υπολογισμό του ολικού συντελεστή θερμοπερατότητας, Uw.
Στα ενεργειακά συστήματα, το εξωτερικό προφίλ αλουμινίου χωρίζεται με το εσωτερικό προφίλ με ένα ειδικό υλικό το πολυαμιδίο όπου αποτρέπει την μεταφορά θερμότητας ή ψύξης με αποτέλεσμα να υπάρχει θερμοδιακοπή.
Έτσι η εξοικονόμηση ενέργειας τόσο θέρμανσης όσο και ψύξης είναι θεαματική. Η χρήση πολυαμιδίου είναι ορατή στο πλάι του φύλλου και μπορείτε με αυτό τον τρόπο να επιβεβαιώσετε ότι τα κουφώματα που έχετε τοποθετήσει είναι θερμομονωτικά.
Θερμομωντικά ή μη μονωμένα συστήματα: Τι να επιλέξω;
Χρησιμοποιώντας μη μονωμένα συστήματα αλουμινίου, καταναλώνει έως και 40% περισσότερη ενέργεια για θέρμανση και ψύξη. Επιλέγοντας θερμομονωμένα συστήματα αλουμινίου μπορείτε να αποφύγετε τη σπατάλη ενέργειας και επομένως να εξοικονομήσετε χρήματα.
Στα ενεργειακά αποδοτικά θερμικά συστήματα, το εξωτερικό προφίλ αλουμινίου διαχωρίζεται από το εσωτερικό προφίλ με πολυαμίδια που σπάνε θερμικά τα προφίλ, οδηγώντας σε εξαιρετική εξοικονόμηση ενέργειας τόσο για θέρμανση όσο και για ψύξη. Τα πολυαμίδια είναι ορατά στο πλάι του φύλλου, ώστε να επιβεβαιώσετε ότι τα κουφώματα που έχετε στο σπίτι σας είναι θερμομονωμένα.
Αντικατάσταση Κουφωμάτων – Τι Να Προσέξετε!
Εάν έχετε αποφασίσει να προχωρήσετε στην αλλαγή κουφωμάτων, καλό θα ήταν να αντικαταστήσετε όλο το κούφωμα. Μην αλλάξετε απλά την υάλωση σε υπάρχοντα κρύα κουφώματα. Το αλουμίνιο ως μέταλλο είναι καλός αγωγός της θερμότητας, αλλάζοντας μόνο την υάλωση θα έχει ως αποτέλεσμα το φαινόμενο της υγροποίησης, δηλαδή της συμπύκνωσης υδρατμών που θα δημιουργούνται λόγω της διαφοράς θερμοκρασίας του εσωτερικού με τον εξωτερικό χώρο. Η λύση στο πρόβλημα αυτό είναι η χρήση θερμομονωτικών κουφωμάτων.
Ενεργειακά Τζάμια – Ο Συνδυασμός για Τέλειο Αποτέλεσμα!
Για να πετύχουμε τη μέγιστη θερμοδιακοπή είναι πολύ σημαντικό να επιλέξουμε ενεργειακούς υαλοπίνακες. Ο υαλοπίνακας καταλαμβάνει τη μεγαλύτερη επιφάνεια για αυτό και πρέπει να επιλεγεί με μεγάλη προσοχή. Με συστήματα αλουμινίου MUSKITA, μπορεί πλέον να τοποθετηθεί μέχρι και τριπλό τζάμι εξασφαλίζοντας εκπληκτικά αποτελέσματα θερμομόνωσης, ηχομόνωσης και ασφάλειας.
Συμβουλές Τοποθέτησης
Κατά την τοποθέτηση των ενεργειακών κουφωμάτων, ανάμεσα στο κούφωμα και την τοιχοποιία ή το πάτωμα θα πρέπει να τοποθετούνται πλαστικοί τάκοι ή ειδικά ελαστικά περιμετρικά για να αποκλείσουμε την διαρροή θερμότητας ή ψύξης, διατηρώντας έτσι την θερμομονωτική ιδιότητα των κουφωμάτων. Επίσης, όλοι οι αρμοί θα πρέπει να σφραγίζονται με σιλικόνη.
Ο κατασκευαστής που θα επιλέξετε μπορεί να σας ενημερώσει σχετικά με τον συντελεστή θερμομόνωσης του συστήματος που θα τοποθετήσετε. Επιπλέον στη MUSKITA μπορούμε να σας βοηθήσουμε να αξιολογήσετε τις τιμές του συντελεστή θερμοπερατότητας του συστήματος σας με τις υπερσύγχρονες θερμοκάμερες μας.